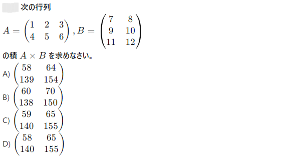
AI実装検定A級-数学(数列と行列)- 2024年9月28日 ailearn 1. A B C D None 2. A B C D None 3. ある等比数列の初項が6で、公比が2です。この数列の第8項から第4項までの和を求めなさい。 750 760 770 780 None 4. A B C D None 5. A B C D None 6. A B C D None 7. A B C D None 8. A B C D None 9. A B C D None 10. A B C D None 11. A B C D None 12. A B C D None 13. A B C D None 14. 等差数列 2,5,8,11,… の第10項はどれですか? 20 29 30 32 None 15. A B C D None 16. A B C D None 17. ある等差数列の初項が5で、公差が3です。この数列の第10項から第5項までの和を求めなさい。 85 90 122.5 100 None 18. 行列の和 A+B が定義される条件はどれですか? 行列 A と B は正方行列である 行列 A と B は逆行列を持つ 行列 A と B は同じ次元を持つ 行列 A と B は対角行列である None 19. A B C D None 20. A B C D None Time's up