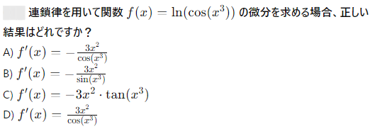
AI実装検定A級~模擬試験④~ 2024年12月8日2024年12月8日 ailearn 1. 誤差逆伝播法を使用する際、学習率を自動的に調整する「Adam」の利点は何ですか? すべてのパラメータに同じ学習率を適用できる 勾配消失を完全に防げる パラメータごとに異なる学習率を適用し、最適化を加速させる 勾配を計算する必要がなくなる None 2. A B C D None 3. ある病気に関するテストの特異度が95%であるとします。この特異度は何を意味しますか? テストが陽性である確率が95% 患者が病気であるときにテストが陽性を示す確率が95% 患者が健康であるときにテストが陰性を示す確率が95% 患者が病気であるときにテストが陰性を示す確率が95% None 4. あるテストで陽性反応が出た場合、その人が病気である確率を求めるために使用されるのは次のどれですか? 事前確率 感度 特異度 事後確率 None 5. 誤差逆伝播法における勾配消失問題とは何ですか? 出力がゼロになる問題 勾配が非常に大きくなり、学習が爆発する問題 勾配が非常に小さくなり、学習が停止する問題 勾配が変化しない問題 None 6. 誤差の微分を計算する際に、勾配がゼロになる点はどのような意味を持ちますか? 誤差が最大化される点 モデルが最適化されていない点 誤差が最小化される点 モデルの学習が停止する点 None 7. 誤差逆伝播法の主な目的は何ですか? モデルの学習を高速化するため モデルの出力を予測するため 勾配を計算し、パラメータを更新するため データセットを正規化するため None 8. A B C D None 9. 誤差逆伝播法において、バッチ正規化を導入する主な目的はどれですか? 勾配爆発を防ぐため 重みの初期化を改善するため 各層の出力を安定させ、学習を効率化するため 損失関数の最適化を行うため None 10. A B C D None 11. 誤差逆伝播法で活性化関数としてReLUがよく使用される理由はどれですか? ReLUは計算が簡単で、勾配消失問題を防ぎやすいため ReLUは出力が常にゼロになるため ReLUは二次関数の特性を持つため ReLUは正規化を自動で行うため None 12. 誤差逆伝播法において、ミニバッチ学習を採用する利点は何ですか? 学習速度が低下する 計算資源の効率化と勾配の安定化 パラメータの更新が遅くなる 学習率を小さくできる None 13. A B C D None 14. 誤差の微分が急激に変化する場合、どのような問題が発生する可能性がありますか? 過学習 勾配消失 勾配爆発 モデルの複雑化 None 15. 誤差逆伝播法において、「勾配クリッピング」を使用する場面として最も適切なのはどれですか? モデルが非常に大きな勾配を持つ場合 モデルが勾配消失に直面する場合 モデルが非常に小さな勾配を持つ場合 モデルが誤差関数を変更する場合 None 16. 連鎖律はニューラルネットワークのどの部分で活用されますか? 誤差関数の計算 出力層での活性化関数の計算 勾配を逆方向に伝播する際の計算 モデルの初期化 None 17. あるテストの感度が90%である場合、次の説明のうち正しいものはどれですか? テストが陽性である確率が90% 患者が病気であるときにテストが陽性を示す確率が90% 患者が健康であるときにテストが陽性を示す確率が90% 患者が病気であるときにテストが陰性を示す確率が90% None 18. 誤差関数の微分がゼロに近づくと、勾配降下法の学習速度はどうなりますか? 変わらない 加速する 遅くなる 逆転する None 19. 誤差逆伝播法で使用する活性化関数において、勾配消失を防ぐための最適な選択肢はどれですか? ReLU関数 シグモイド関数 ソフトマックス関数 双曲線正接関数(tanh) None 20. ニューラルネットワークにおける「誤差逆伝播法」は、誤差の微分をどのように活用しますか? 隠れ層の出力を修正するため 重みの更新を計算するため 出力層の活性化関数を変更するため データの前処理を行うため None 21. 誤差関数の微分が非線形関数である場合、最適化に与える影響は何ですか? 最適化が容易になる 最適化が非線形に複雑化する 最適化に影響しない モデルのバイアスが増加する None 22. 誤差逆伝播法において、勾配クリッピングを適用する目的は何ですか? 勾配が消失するのを防ぐため 勾配が爆発するのを防ぐため 誤差を直接修正するため 勾配を小さくするため None 23. 誤差逆伝播法の計算が効率的に行われるために、どのようなテクニックが使用されますか? 勾配クリッピング モメンタム法 ミニバッチ学習 チェーンルール None 24. 誤差逆伝播法において、損失関数が非凸である場合の主な課題は何ですか? 勾配がゼロになることが多い 損失関数が多くの局所最小値を持ち、最適解に到達しにくい 誤差が増加しやすい 誤差関数が変更されやすい None 25. A B C D None 26. 誤差の微分を計算する際に使用される「連鎖律」とは何ですか? 微分を無視する手法 一度に複数の変数を微分する手法 複数の関数を順に微分する手法 微分を逆方向に伝播させる手法 None 27. A B C D None 28. 誤差の微分により、勾配降下法を使用する際に更新されるものは何ですか? データの分布 モデルの出力 モデルの損失関数 モデルのパラメータ None 29. 2つの集合 A={a,b,c} と B={b,c,d,e} において、相対補集合 A∖B と B∖A の要素をまとめた集合は次のどれですか? {b,c} {a,b,d,e} {a,d,e} {d,e} None 30. A B C D None 31. 誤差逆伝播法において、二乗和誤差(MSE)を損失関数として使用する場合、出力層の活性化関数として最適なのはどれですか? シグモイド関数 ソフトマックス関数 線形関数 ReLU関数 None 32. ベイズの定理の応用で、事象 A の事前確率を何と呼びますか? 事後確率 条件付き確率 累積確率 事前確率 None 33. 誤差の微分が非常に小さくなることで発生する「勾配消失問題」を回避するために、どの手法が有効ですか? 活性化関数をReLUに変更する シグモイド関数を使用する 重みの初期化をランダムにする 学習率を増加させる None 34. 誤差逆伝播法において、どの損失関数が一般的に使用されますか? クロスエントロピー損失 ロジスティック損失 平均絶対誤差(MAE) 平均二乗誤差(MSE) None 35. A B C D None 36. A B C D None 37. 集合 A={1,3,5,7}、集合 B={2,4,5,6}、全体集合 U={1,2,3,4,5,6,7} において、 A∖(A∩B) の結果はどれですか? {5} {1,3} {1,3,7} {5,7} None 38. A B C D None 39. ニューラルネットワークにおいて、深層層で連鎖律を用いた勾配計算が失敗しやすい理由はどれですか? 活性化関数が非線形だから 勾配消失が発生するため 勾配が大きくなりすぎるため 学習率が不適切だから None 40. 誤差逆伝播法において、連鎖律を利用する最大の利点は何ですか? 誤差を拡大することができる モデルの複雑さを軽減できる 勾配消失を防げる 各層でのパラメータ更新を効率的に行える None 41. 誤差の微分が非凸関数である場合、勾配降下法において起こり得る現象はどれですか? 勾配降下法は常にグローバル最適解に到達する 勾配が無視される 勾配が線形になる 局所最小値に留まる可能性がある None 42. 誤差逆伝播法はどのようなタイプのニューラルネットワークに適用されますか? フィードフォワード型ニューラルネットワーク 再帰型ニューラルネットワーク(RNN) 畳み込みニューラルネットワーク(CNN) 全てのニューラルネットワーク None 43. 非線形誤差関数における「局所最小値」に陥らないために有効な手法はどれですか? 学習率を非常に小さく設定する 学習を途中で停止する モデルの初期化をランダムに行う 誤差の微分をゼロにする None 44. 連鎖律を適用する必要がある場合はどのような状況ですか? 複数の関数が合成されている場合 関数が線形の場合 微分が不可能な場合 定数項を微分する場合 None 45. ニューラルネットワークにおける勾配爆発を防ぐために、連鎖律に加えて導入される手法はどれですか? L2正則化 勾配クリッピング モメンタム法 シグモイド関数の使用 None 46. A B C D None 47. A B C D None 48. A B C D None 49. 誤差関数の微分を用いる目的は何ですか? モデルの予測精度を測定するため 勾配降下法を通じてモデルのパラメータを最適化するため データセットの分散を計算するため モデルの出力を標準化するため None 50. ベイズの定理を使用してマーケティングの予測を行う際に、事前確率が高い場合はどのような影響がありますか? 新しい情報が事後確率に与える影響が大きくなる 条件付き確率がすべてのケースにおいて一定になる 新しい情報によって事前確率が無効になる 新しい情報が得られても事後確率に大きな影響はない None 51. ニューラルネットワークにおける「重みの初期化」が誤差の微分に与える影響はどれですか? 誤差の微分に影響を与えない 重みが大きすぎると勾配が爆発し、学習が不安定になる 重みが小さいと誤差がゼロに収束する 重みの初期化は勾配に関係しない None 52. 誤差逆伝播法を効率化するために、モメンタム法を導入する理由は何ですか? モメンタム法は誤差を直接修正するため モメンタム法は勾配消失を防ぐため モメンタム法は勾配の振動を抑え、収束を早めるため モメンタム法は損失関数を変更するため None 53. ある製品が市場に登場する確率をベイズの定理で計算する際に、事前確率がほぼゼロに近い場合、事後確率がどのように変化するか? 事前確率がほぼゼロでも、事後確率は感度に依存する 事後確率もゼロに近づく 事後確率は常に一定になる 事後確率は特異度に依存する None 54. A B C D None 55. 集合 A={2,4,6} と集合 B={4,5,6} において、相対補集合 B∖A はどれですか? {4,5,6} {2,4,6} {5} ∅ None 56. ベイズの定理を使って、ある感染症が地域内で流行している確率を計算する場合、以下の情報のうちどれが最も重要ですか? 地域の人口と感染者数 感染者数と病院の数 事前確率、感度、特異度 感染者の平均年齢と症状 None 57. A B C D None 58. A B C D None 59. 誤差逆伝播法における「スキップ接続」(Skip Connection)の効果はどれですか? 勾配消失を防ぎ、より深いネットワークを学習可能にする ネットワークの深さを減らす 出力の非線形性を高める モデルのパラメータを減少させる None 60. A B C D None Time's up