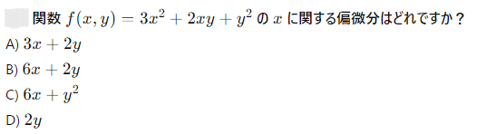
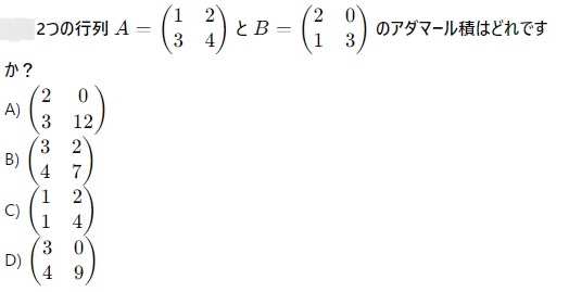
AI実装検定A級~模擬試験⑤~ 2024年12月8日2024年12月8日 ailearn 1. A B C D None 2. A B C D None 3. A B C D None 4. A B C D None 5. ある病気に関する検査の感度が80%、特異度が90%であり、病気の有病率が10%の場合、検査で陰性となった人が実際に病気でない確率を求めなさい。 約95% 約90% 約80% 約85% None 6. ある等差数列の初項が5で、公差が3です。この数列の第10項から第5項までの和を求めなさい。 85 90 122.5 100 None 7. アダマール積(Hadamard積)とは、何を示す概念ですか? 行列の内積 行列の外積 行列の行ごとの和 行列の要素ごとの積 None 8. A B C D None 9. A B C D None 10. アダマール積が他の行列積と異なる理由はどれですか? アダマール積は行列のすべての要素を掛け合わせるため、次元が変わる アダマール積は行列の転置を必要とする アダマール積は行列の逆行列を計算する アダマール積は行列の対応する要素同士を掛けるだけであり、次元は変わらない None 11. A B C D None 12. 偏微分とは何を示す概念ですか? 一変数関数の微分 2次導関数 複数の変数に依存する関数における、ある一つの変数に対する微分 関数の積分 None 13. A B C D None 14. A B C D None 15. A B C D None 16. A B C D None 17. A B C D None 18. アダマール積の計算に必要な条件はどれですか? 行列の形状が異なること 行列の要素がすべて整数であること 行列の形状が同じであること 行列が対角行列であること None 19. ある地域で、ある感染症に感染している人の割合は1%であり、テストの感度は99%、特異度は95%です。テストで陽性となった人が実際に感染している確率を求めなさい。 約17% 約50% 約66% 約90% None 20. A B C D None 21. A B C D None 22. A B C D None 23. A B C D None 24. A B C D None 25. A B C D None 26. A B C D None 27. A B C D None 28. A B C D None 29. 偏微分を使った最適化において、パラメータ更新の際に利用される代表的な手法はどれですか? ニュートン法 k-最近傍法 勾配降下法 サポートベクターマシン None 30. A B C D None 31. 条件付き確率を使って、2つの事象 A と B の同時発生確率を次のように表すことができる: P(A∩B)=P(A∣B)×P(B)。この式に関する次の説明のうち、正しいものはどれですか? 条件付き確率は、片方の事象が発生した後のもう片方の事象の確率を示す 条件付き確率は、2つの事象の和集合を計算するために使用される 条件付き確率は、常に1以下の値を持つ 条件付き確率は、片方の事象が起こらない場合の確率を示す None 32. A B C D None 33. A B C D None 34. 2つの事象 A と B が独立である場合、条件付き確率 P(A∣B) はどのようになりますか? P(A∣B)=P(A) P(A∣B)=P(B) P(A∣B)=P(A∩B) P(A∣B)=1 None 35. ある等比数列の初項が6で、公比が2です。この数列の第8項から第4項までの和を求めなさい。 750 760 770 780 None 36. A B C D None 37. 条件付き確率を使った例として、次のどの問題が最も適切ですか? サイコロを振るときの確率 交通渋滞が起こる確率 雨が降っているときに交通渋滞が起こる確率 ランダムな数を選ぶ確率 None 38. A B C D None 39. ある会社でプロジェクトAが成功する確率が70%、プロジェクトBが成功する確率が50%で、プロジェクトAが成功した場合にプロジェクトBも成功する確率が80%です。このとき、プロジェクトAとBが両方成功する確率はどれですか? 0.35 0.40 0.28 0.56 None 40. A B C D None 41. A B C D None 42. ある工場では製品の不良率が2%であり、製品検査の感度が85%、特異度が90%です。このとき、検査で不良品と判定された製品が実際に不良品である確率はどれですか?(ベイズの定理を用いる) 約15% 約20% 約50% 約85% None 43. A B C D None 44. A B C D None 45. A B C D None 46. A B C D None 47. A B C D None 48. A B C D None 49. A B C D None 50. アダマール積を記号で表すとき、どのような記号が使われますか? ⊗ ⊙ ⊕ × None 51. 3次元テンソル 𝐴 と 𝐵 のアダマール積を計算する場合、どの条件が最も重要ですか? 2つのテンソルの次元が同じであること 2つのテンソルの一部の要素がゼロであること 2つのテンソルの内積が存在すること 片方のテンソルが対角行列であること None 52. A B C D None 53. A B C D None 54. A B C D None 55. A B C D None 56. 偏微分を用いる際に、関数が連続かつ微分可能でなければならない理由は何ですか? 偏微分は積分の逆過程だから 関数が不連続な場合、値がゼロになるため 微分可能性と偏微分は無関係 微分が存在しない場合、偏微分も存在しないため None 57. 行列の和 A+B が定義される条件はどれですか? 行列 A と B は正方行列である 行列 A と B は逆行列を持つ 行列 A と B は同じ次元を持つ 行列 A と B は対角行列である None 58. テンソル積とアダマール積を区別する主な理由は何ですか? テンソル積は行列のサイズを維持し、アダマール積はサイズを変える アダマール積はテンソル積よりも計算量が多い テンソル積はアダマール積の特別なケースである アダマール積は要素ごとに計算し、テンソル積は次元を拡張して計算する None 59. A B C D None 60. アダマール積はどの分野で主に使用されますか? 統計学のみ ニューラルネットワークや機械学習で使用される 物理学のみ アルゴリズムの最適化にのみ使用される None Time's up